สวัสดีค่ะน้องๆ ทุกคนฟิตเพิ่มเกรดวันนี้พี่บิวจะพาน้องๆ ไปทบทวนพื้นฐานคณิตศาสตร์เรื่อง การแยกตัวประกอบพี่บิวเชื่อว่าน้องๆ ทุกคนต้องเคยเรียนเรื่องนี้กันแล้วตอนมัธยมต้นและเป็นเรื่องน้องๆ ทุกคนต้องทำได้เพราะว่าต้องเจอโจทย์หลายๆ ประเภทรวมทั้งข้อสอบเข้ามหาลัยที่ใช้การแยกตัวประกอบไปคำนวณด้วยถ้าไม่แม่นพี่บิวว่ายากแน่นอนค่ะ ว่าแล้วมาดูสูตรแยกตัวประกอบกันค่ะ
รวมสูตรแยกตัวประกอบ
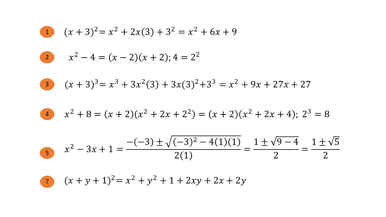
พี่บิวก็ได้รวมสูตรที่ใช้บ่อยๆ ไว้แล้วในรูปนี้ถ้าน้องๆ เจอโจทย์ที่มีรูปแบบดังนี้ก็ใช้สูตรหาคำตอบได้เลยไม่ต้องเสียเวลาคำนวณ จะช่วยร่นเวลาน้องๆ ตอนทำข้อสอบด้วยค่ะ

ตัวอย่างโจทย์

วิธีการแยกตัวประกอบ
และถ้าโจทย์ไม่เป็นไปตามรูปแบบที่กำหนดเราก็ต้องแยกตัวประกอบเองวิธีที่ใช้แยกบ่อยๆ คือ
1. แยกตัวประกอบแบบ 2 วงเล็บ วิธีการคือให้หาว่าตัวเลขอะไรคูณกันได้พจน์สุดท้ายและบวกกันได้พจน์กลาง ตัวอย่างเช่น
2. การดึงตัวร่วม เช่น

3. การหารสังเคราะห์ วิธีนี้จะใช้กับพหุนามดีกรีสูงๆ ได้วิธีการคือ
Step 1. เรียงสัมประสิทธิ์จากดีกรีมากไปน้อย
Step 2. หาตัวประกอบของพจน์สุดท้ายในที่นี้คือ 3 ดังนั้น ตัวประกอบคือ 1, -1, 3, -3
Step 3. ลองเอาตัวประกอบไปหารสังเคราะห์ เทคนิคคือให้ลองจากเลขน้อยๆ ก่อนจากตัวอย่างพี่ลองเอาเลข 1 ไปหาร
Step 4. ชักสัมประสิทธิ์ตัวแรกลงมา
Step 5. เอาตัวประกอบที่เลือก (เลข 1) ไปคูณกับเลขที่ชักลงมาและเอาคำตอบที่ได้ไปไว้ในช่องสัมประสิทธิ์ถัดไปจากตัวอย่างคือ 1×1 = 1
Step 6. เอาคำตอบที่ได้บวกสัมประสิทธิ์ตัวถัดไป จากตัวอย่างคือ -3+1 = -2
Step 7. ทำแบบนี้ไปเรื่อยๆ จนถึงตัวสุดท้ายถ้าได้คำตอบสุดท้ายเป็นศูนย์ แสดงว่าตัวประกอบที่เลือกใช้ได้ แต่ถ้าไม่ได้ 0 ก็ต้องลองตัวอื่นต่อไปค่ะ

การแยกตัวประกอบยังมีอีกหลายๆ วิธีเช่น ทฤษฎีบทเศษเหลือถ้าน้องๆ สนใจอยากศึกษาเพิ่มเติมสามารถสมัครเรียนได้ที่คอร์สเก่ง ม.4 เทอม 1 และคอร์สพิชิต TCAS – รวมบทเก็บคะแนน (จำนวนจริง ฟังก์ชัน เอ็กซ์โพเนนเชียล สถิติ) สอนโดย อ.กิ๊ฟ ผศ.ดร.วิทวัชร์ โฆษิตวัฒนฤกษ์ อาจารย์ประจำภาควิชาคณิตศาสตร์ ม.มหิดล ที่มีประสบการณ์การสอนคณิตศาสตร์ในระดับมัธยมศึกษาจนถึงปริญญาเอกทั้งในและต่างประเทศมากกว่า10 ปี ทั้งยังเป็นตัวแทนประเทศไทยแข่งคณิตศาสตร์โอลิมปิก 3 สมัยโอกาสที่จะได้เรียนกับตัวจริงด้านคณิตศาสตร์แบบนี้มีไม่บ่อยห้ามพลาดนะคะ
สอบถามเพิ่มเติม และปรึกษาพี่ๆ Dek-D School ได้เลยที่ Line @schooldekd และติดตามข่าวสารการเตรียมตัวสอบได้ที่ช่องทางต่างๆ ต่อไปนี้



